Filter Assistant
Dye
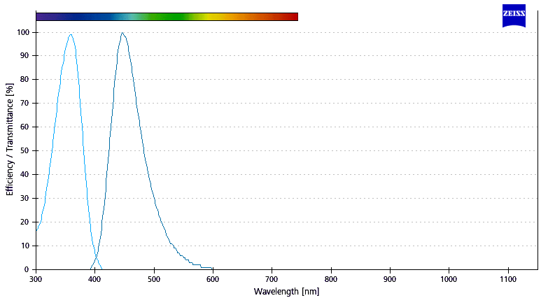
Dye 7-Hydroxy-4-methylcoumarin
Excitation
Emission
Important Note
Additional components can influence efficiency.
Selection:
Please note that the given values are typical only and not guaranteed.
30 possible ZEISS filter sets found
| Filter Set 40 (000000-1021-600) | ||
|---|---|---|
| Excitation | Beamsplitter | Emission |
|
BP 360/51 BP 485/17 BP 560/18 |
TFT 440 + 500 + 570 |
TBP 460 + 520 + 600 |
| Filter Set 42 (000000-1092-429) | ||
|---|---|---|
| Excitation | Beamsplitter | Emission |
|
BP 357/50 BP 403/11 BP 493/17 BP 573/20 DBP 497/17 + 570/25 TBP 400/13 + 495/17 + 570/25 |
TFT 417 + 510 + 585 |
TBP 460 + 530 + 625 |
| Filter Set 01 (488001-9901-000) | ||
|---|---|---|
| Excitation | Beamsplitter | Emission |
|
BP 365/12 |
FT 395 |
LP 397 |
| Filter Set 02 (488002-9901-000) | ||
|---|---|---|
| Excitation | Beamsplitter | Emission |
|
G 365 |
FT 395 |
LP 420 |
| Filter Set 49 (488049-9901-000) | ||
|---|---|---|
| Excitation | Beamsplitter | Emission |
|
G 365 |
FT 395 |
BP 445/50 |
| Filter Set 68 (488068-0000-000) | ||
|---|---|---|
| Excitation | Beamsplitter | Emission |
|
BP 377/28 |
FT 403 |
BP 464/100 |
| Filter Set 21 HE (489021-0000-000) | ||
|---|---|---|
| Excitation | Beamsplitter | Emission |
|
BP 340/30 (HE) BP 387/15 (HE) |
FT 409 (HE) |
BP 510/90 (HE) |
| Filter Set 62 HE (Colibri) (489062-9901-000) | ||
|---|---|---|
| Excitation | Beamsplitter | Emission |
|
BP 370/40 (HE) BP 474/28 (HE) BP 585/35 (HE) |
TFT 395 + 495 + 610 (HE) |
TBP 425 + 527 + LP615 (HE) |
| Filter Set 81 HE (489081-9010-000) | ||
|---|---|---|
| Excitation | Beamsplitter | Emission |
|
BP 375/38 (HE) BP 484/25 (HE) BP 553/18 (HE) BP 631/22 (HE) |
QFT 400 + 503 + 570 + 650 (HE) |
QBP 432 + 519 + 590 + 680 (HE) |
| Filter Set 90 SBP (489090-9010-000) | ||
|---|---|---|
| Excitation | Beamsplitter | Emission |
|
BP 385/30 BP 469/38 BP 555/30 BP 631/33 |
QBS 405 + 493 + 575 + 653 |
BP 425/30 BP 514/30 (HE) BP 592/24 BP 681/45 |
| Filter Set 90 HE (489090-9100-000) | ||
|---|---|---|
| Excitation | Beamsplitter | Emission |
|
BP 385/30 BP 469/38 BP 555/30 BP 631/33 |
QBS 405 + 493 + 575 + 653 |
QBP 425/30+514/30+592/25+709/100 |
| Filter Set 90 HE LED (489090-9110-000) | ||
|---|---|---|
| Excitation | Beamsplitter | Emission |
|
BP 385/30 BP 469/38 BP 555/30 BP 631/33 |
QBS 405 + 493 + 575 + 653 |
QBP 425/30+514/30+592/25+709/100 |
| Filter Set 90 LED SBP (489090-9120-000) | ||
|---|---|---|
| Excitation | Beamsplitter | Emission |
|
BP 385/30 BP 469/38 BP 555/30 BP 631/33 |
QBS 405 + 493 + 575 + 653 |
BP 425/30 BP 514/30 (HE) BP 592/24 BP 681/45 |
| Filter Set 90 MBP (489090-9130-000) | ||
|---|---|---|
| Excitation | Beamsplitter | Emission |
|
BP 385/30 BP 469/38 BP 555/30 BP 631/33 |
QBS 405 + 493 + 575 + 653 |
QBP 425/30+514/30+592/25+709/100 |
| Filter Set 92 SBP (489092-9010-000) | ||
|---|---|---|
| Excitation | Beamsplitter | Emission |
|
BP 385/30 BP 469/38 BP 591/27 |
TBS 405+493+610 |
BP 425/30 BP 525/50 (HE) BP 649/65 |
| Filter Set 92 HE LED (489092-9110-000) | ||
|---|---|---|
| Excitation | Beamsplitter | Emission |
|
BP 385/30 BP 469/38 BP 591/27 |
TBS 405+493+610 |
TBP 425/30+524/50+688/145 |
| Filter Set 92 LED SBP (489092-9120-000) | ||
|---|---|---|
| Excitation | Beamsplitter | Emission |
|
BP 385/30 BP 469/38 BP 591/27 |
TBS 405+493+610 |
BP 425/30 BP 525/50 (HE) BP 649/65 |
| Filter Set 92 MBP (489092-9130-000) | ||
|---|---|---|
| Excitation | Beamsplitter | Emission |
|
BP 385/30 BP 469/38 BP 591/27 |
TBS 405+493+610 |
TBP 425/30+524/50+688/145 |
| Filter Set 96 HE (489096-9100-000) | ||
|---|---|---|
| Excitation | Beamsplitter | Emission |
|
BP 390/40 |
FT 420 |
BP 450/40 |
| Filter Set 109 HE LED (489109-9110-000) | ||
|---|---|---|
| Excitation | Beamsplitter | Emission |
|
BP 385/30 BP 469/38 BP 555/30 |
TBS 405+493+575 |
TBP 425/29+514/31+632/100 |
| Filter Set 110 SBP (489110-9010-000) | ||
|---|---|---|
| Excitation | Beamsplitter | Emission |
|
BP 385/30 BP 469/38 BP 591/27 BP 735/40 |
QBS 405 + 493 + 611 + 762 |
BP 425/30 BP 525/50 (HE) BP 649/65 BP 788/38 |
| Filter Set 110 HE LED (489110-9111-000) | ||
|---|---|---|
| Excitation | Beamsplitter | Emission |
|
BP 385/30 BP 469/38 BP 591/27 BP 735/40 |
QBS 405 + 493 + 611 + 762 |
QBP 425/30 + 524/51 + 634/38 + 785/38 |
| Filter Set 110 LED SBP (489110-9120-000) | ||
|---|---|---|
| Excitation | Beamsplitter | Emission |
|
BP 385/30 BP 469/38 BP 591/27 BP 735/40 |
QBS 405 + 493 + 611 + 762 |
BP 425/30 BP 525/50 (HE) BP 649/65 BP 788/38 |
| Filter Set 110 MBP (489110-9130-000) | ||
|---|---|---|
| Excitation | Beamsplitter | Emission |
|
BP 385/30 BP 469/38 BP 591/27 BP 735/40 |
QBS 405 + 493 + 611 + 762 |
QBP 425/30 + 524/51 + 634/38 + 785/38 |
| Filter Set 112 SBP (489112-9010-000) | ||
|---|---|---|
| Excitation | Beamsplitter | Emission |
|
BP 385/30 BP 469/38 BP 555/30 BP 631/33 BP 735/40 |
PBS 405 + 493 + 575 + 654 + 761 |
BP 425/30 BP 514/30 (HE) BP 592/24 BP 681/45 BP 788/38 |
| Filter Set 112 HE LED (489112-9110-000) | ||
|---|---|---|
| Excitation | Beamsplitter | Emission |
|
BP 385/30 BP 469/38 BP 555/30 BP 631/33 BP 735/40 |
PBS 405 + 493 + 575 + 654 + 761 |
PBP 425/30 + 514/31 + 592/25 + 681/45 + 785/38 |
| Filter Set 112 LED SBP (489112-9120-000) | ||
|---|---|---|
| Excitation | Beamsplitter | Emission |
|
BP 385/30 BP 469/38 BP 555/30 BP 631/33 BP 735/40 |
PBS 405 + 493 + 575 + 654 + 761 |
BP 425/30 BP 514/30 (HE) BP 592/24 BP 681/45 BP 788/38 |
| Filter Set 112 MBP (489112-9130-000) | ||
|---|---|---|
| Excitation | Beamsplitter | Emission |
|
BP 385/30 BP 469/38 BP 555/30 BP 631/33 BP 735/40 |
PBS 405 + 493 + 575 + 654 + 761 |
PBP 425/30 + 514/31 + 592/25 + 681/45 + 785/38 |
Filter sets for stereomicroscopes
| Filter Set Lumar 01 (485001-0000-000) | ||
|---|---|---|
| Excitation | Emission | |
| BP 365/12 | LP 397 | |
| Filter Set Lumar 49 (485049-0000-000) | ||
|---|---|---|
| Excitation | Emission | |
| G 365 | BP 445/50 | |